Этапы установки
Сделать заземление треугольником можно по следующей пошаговой инструкции:
На выбранном месте помечаем места закапывания вертикальных электродов. После чего нужно выкопать траншею глубиной до одного метра. Глубина должна быть ниже промерзания земли. Линии конструкции должны образовывать треугольник, длина стороны которого указывается в расчетах.
Затем необходимо вырыть траншею от конструкции к силовому щитку. Угол контура, к которому будет подсоединяться щиток, выбирается самый ближний. Это делается для экономии материалов.
Далее необходимо забить электроды в землю, оставив над грунтом 20 см.
С помощью стальной полосы необходимо сделать замкнутую систему. Она приваривается к электродам и образует треугольник.
От ближайшей точки прокладывается полоса к силовому щитку и выводится на стену.
К подведенной к шкафу планке приварить болт, при этом его резьба должна быть наружу. Это означает, что привариваться будет шапка болта
Чтобы подключить заземление к щитку в доме, важно заранее в стене высверлить отверстие для заземляющего кабеля.
С помощью гайки присоединяется заземляющий кабель к болту. После этого необходимо обработать места сварки и соединений специальными веществами от коррозии и герметиком.
Инструкция в картинках выглядит следующим образом:

Завершающим этапом установки заземлителя своими руками будет проверка сопротивления заземления. Для этого нужно иметь специальный электрический прибор, который называется омметр. Но так как такой прибор стоит не дешево, то лучше пригласить специалиста из энергоуправления. Специалисту нужно сделать замеры и внести данные в паспорт контура заземлителя.

Важно проверку делать в сухую погоду, так как атмосферная влага может дать погрешности измерению. Норматив сопротивления контура не должен превышать 4 Ом для сети 220 Вольт
Если же сопротивление превышает этот показатель, то нужно доработать заземление. Для этого нужно добавить еще один заземлитель или сделать конструкцию в форме ромба.
В случае, если параметры соответствуют всем нормам и требованиям и подтверждается низкое сопротивление контура, то можно зарывать траншею. Делается это однородным грунтом, без щебня и мусора. Подключать заземление к щитку следует не параллельно, а отдельно каждую техническую единицу.
Есть еще один способ проверить сопротивление без вызова специалиста. Для этого достаточно иметь лампу, мощность которой не меньше 100 Вт. Источник света одним контактом подсоединяется к системе, а вторым – к фазе. Если треугольник установлен правильно, то лампочка будет гореть ярко. Если же она светит тускло, значит контакты между заземлителями слабые и стыки нужно будет переделывать. Если свет вообще не горит, то треугольник установлен неправильно. В этом случае следует проверить саму схему и посмотреть где была допущена ошибка.
На видео ниже наглядно показывается, как собрать заземляющий контур треугольной формы:
Вот и все, что хотелось вам рассказать о том, как сделать заземление треугольником своими руками. Надеемся, предоставленные схемы, фото и инструкция по монтажу были для вас полезными!
Будет полезно прочитать:
- Прокладка кабеля под землей
- Назначение главной заземляющей шины
- Как сделать систему уравнивания потенциалов в ванной
Пример расчета заземления
В качестве «классического» примера расчета заземления рассмотрим вариант ЗУ с учетом заданных исходных данных, то есть проведем вычисления для одиночного металлического штыря. Сразу оговоримся, что такие простейшие конструкции применяются при организации повторного заземления высоковольтных опор. В рассматриваемой ситуации согласно положениям ПУЭ (смотрите п.1.7.103.) сопротивление растеканию тока не может быть более 15, 30 и 60 Ом для напряжений 660, 380 и 220 Вольт соответственно.
Расчет одиночного заземляющего элемента для опоры ВЛ 380 Вольт
Согласно оговоренной ранее методике сначала по таблице выбирается тип вертикального штыря со следующими характеристиками:
- Материал – сталь.
- Форма – округлый стержень диаметром 16 мм.
- Длина L — 2,5 метра.
Глубина траншеи берется равной полметра. Затем из той же таблицы находится поправочный коэффициент, вводимый для средней климатической зоны. Его значение при фактической длине стержней до 2,5 метров с учетом промерзания грунта в данной местности составляет ψ=1,45. Показатель нормированного сопротивления для этого типа ЗУ равен 30 Омам. Следующий показатель – удельное сопротивление грунта находится по формуле:
ρ (по факту) = ψ•ρ = 1.45х60 = 87 Ом•метр
Полученные расчетные данные выглядят так:
- заглубление одиночного штыря в грунт составляет h = 0,5l + t = 0,5х2,5 + 0,5 = 1,75 метра;
- его сопротивление для нашего примера (смотрите формулы выше) составляет не более 30 Ом, что соответствует требования ПУЭ для данного напряжения.
Когда одного заземляющего штыря для опоры ВЛ недостаточно – допускается добавлять еще один или даже несколько прутьев. В этом случае потребуется другая методика, используемая для линейного контура или треугольной конструкции.
КИП-МН ПВЕК с устройством защитно-заземляющим (УЗЗ)
Устройство защитно-заземляющее (УЗЗ) предназначено для защиты трубопроводов от вредного воздействия ЛЭП, грозозащиты, снижения напряжения прикосновения и проведения контроля параметров ЭХЗ.
УЗЗ-Л — предназначено для устранения вредного влияния ЛЭП, расположенных параллельно трубопроводам.
УЗЗ-Г — предназначено для грозозащиты трубопроводов и снижения напряжения прикосновения.
Техническое описание
КИП-МН ПВЕК с УЗЗ представляет собой стойку из атмосферостойкого негорючего полимера, имеющего в сечении квадрат со стороной 180 мм (КИП-МН ПВЕК Тип-1) или квадрата со стороной 200 мм (КИП-МН ПВЕК Тип-2, Тип-2В), с информационной маркировкой, контрольным щитком с контактными зажимами и клеммами для измерения параметров ЭХЗ и устройством защитно-заземляющим.
Заземлитель изготовлен из оцинкованной стальной полосы 4×40 мм. Необходимая длина заземлителя собирается из секций длиной 2 м, скрепляемых с помощью болтов и гаек.

Рабочим элементом является газонаполненный разрядник или варистор.
Устройство защитно-заземляющее расположено в верхней части стойки и закрыто крышкой с замком. Плата УЗЗ выполнена из стеклотекстолита на которой установлены элементы электрической схемы.
Требуемое количество защитных заземлителей, их тип, сопротивление растеканию и размещение по трассе трубопровода определяется проектным расчетом для каждого конкретного случая.
Технические характеристики
| Ограничение импульсных перенапряжений, В | 230-250 | 75 |
| Максимальный импульсный ток, кА | 24 | 20 |
| Регулировочный элемент | газовый разрядник | варистор |
| Количество измерительных клемм | 8 | 8 |
| * Габаритные размеры заземлителя по расчету, мм | полоса 4 x 40 x L или протектор АПСКК-20 |
полоса 4 x 40 x L |
| Масса заземлителя/протектора, кг | зависит от заказа | зависит от заказа |
| Диапазон рабочих температур, °С | от минус 60 °С до плюс 60 °С | от минус 60 °С до плюс 60 °С |
| * Примечание – Длина L – длина полосы в м, кратная двум |
Схема установки УЗЗ

Комплект поставки
| Стойка КИП-МН ПВЕК с УЗЗ | шт. | 1 |
| Ключ от крышки клеммной панели | шт. | 1 |
| Заземлитель с крепежными деталями | компл. | 1 |
| Кабель ВВГ 1х25 | м | согласно заказу |
| Маркер | шт. | 1 |
| Бирки маркировочные | шт. | по количеству зажимов |
| Стяжка кабельная | шт. | |
| Руководство по эксплуатации | экз. | 1 на партию |
| Устройство, предотвращающее свободному извлечению стойки КИП-МН из грунта | шт. | 1 |
| * Километровый знак (по требованию заказчика) | шт. | 1 |
| * Краска аэрозольная (1 баллончик на 10 знаков, при заказе километрового знака) | шт. | 1 |
| * Трафарет с цифрами | компл. | кол-во по заказу |
| * Ремонтный комплект ЗИП.ПВЕК | компл. | кол-во по заказу |
| * Агротехническое покрытие | м² | кол-во по заказу |
* Комплектуется по дополнительному заказу
КИП-МН ПВЕК с УЗЗ упаковывается в количестве 3 шт. в групповую упаковку — полиэтиленовую пленку, предохраняющую их свободное перемещение и повреждение при транспортировке. Каждый КИП-МН упаковывается в индивидуальную бумажную упаковку.
Структура условного обозначения
Для оформления заказа на КИП-МН ПВЕК с УЗЗ используется следующее условное обозначение:

Документация
Условия и особенности применения
Использование металлических лотков в виде проводников типа PE допускается лишь при наличии разрешения в техническом паспорте устройства. Конкретные требования изложены в пункте 1.7 Правил устройства электроустановок.
Эксплуатация разрешается при наличии таких условий:
- На всей протяженности кабеленесущей магистрали нет прерываний.
- По всей линии достаточно площади сечения лотков и возможно их присоединение по всей длине.
- Компоненты трассы имеют надежные гальванические соединения.
- Обеспечивается своевременная проверка заземления перфорированного лотка и качество крепления соединений.
Для применения кабельного лотка в виде PE-проводника необходимо придерживаться некоторых условий. Прежде всего, производят расчет тока короткого замыкания. По результатам расчета делают выбор элементов оборудования для заземления. За расчеты должен браться квалифицированный специалист, обладающий данными о характеристиках кабельной линии.

Следующий расчет — вычисление минимально необходимого сечения проводника PE. Расчеты также выполняются, исходя из условий ПУЭ.
В Российской Федерации действуют профильные стандарты, по которым компоненты системы, которые подлежат быстрому монтажу и демонтажу, не нужно дополнительно заземлять. При этом особые условия предусматривают установку специальной крышки на лоток. Подразумевается установка дополнительных перемычек и заземлителей с качественной гальванической связью. В качестве примера можно привести изделия упоминаемой ранее компании ДКС.
Токопроводящие кабельные магистрали присоединяют к системе уравнивания потенциалов. Проволочные лотки не в состоянии обеспечить такую же проводимость, как лестничные или листовые, поэтому необходима система уравнивания потенциалов. Компания ДКС дает рекомендацию о подключении системы уравнивания потенциалов каждые 20 метров. Однако практика показывает, что для приемлемой надежности в сложных условиях эксплуатации подключения должны устанавливаться еще чаще — каждые 10 метров.
https://youtube.com/watch?v=4mMmJYw0Tls
Для правильного подключения проволочных лотков следует использовать заземлительные клеммы. Приобрести такие устройства можно в магазине электротоваров или на рынке. Установка клемм не отличается сложностью: нужно подключить устройство к стене лотка. Далее провод направляют через клемму. На участке соприкосновения с клеммой следует удалить изоляционный слой. В результате использования клемм удается достичь более качественного заземления. В качестве проводника подойдет провод ПВЗ в желто-зеленой изоляции.
Способы нанесение знака на оборудование
Принято считать, что все места подключения оборудования к заземляющему контуру должны иметь оговоренное ГОСТом условное обозначение. В большинстве случаев знак наносится на оборудование на заводе-изготовителе и имеет рельефную поверхность. Знаки, нанесённые на заводе, могут иметь как выпуклую, так и вдавленную структуру. Чаще такие знаки отливаются вместе с металлическим или пластмассовым корпусом оборудования, реже выпрессовываются.
При любом из этих вариантов, знаки подлежат дополнительной окраске, дабы более наглядно выделяться на корпусе. Сейчас популярно наклеивание знака заземления с помощью специальных клейких составов, или липкой ленты, это достаточно простой способ. Применение клеящихся символов заземления не противоречит ГОСТ, и может быть выполнено уже после транспортировки, к тому же такие знаки легко обновлять и заменять.
Государственный Стандарт 21130-75 чётко оговаривает параметры наносимого обозначения заземления на металлические или пластмассовые корпуса методом литья.

Размеры знака заземления, выполняемого методом литья
Подробная расшифровка размеров приводится в таблице.
Типовые размеры для вышеприведённого знака
| b | D | H | H1 | h | r |
|---|---|---|---|---|---|
| 0,7 | 10 | 5 | 3,5 | 2,5 | 0,35 |
| 1,2 | 16 | 8 | 6,0 | 4,0 | 0,6 |
| 1,4 | 20 | 10 | 7,0 | 5,0 | 0,7 |
| 1,8 | 25 | 14 | 9,0 | 5,5 | 0,9 |
| 3,0 | 40 | 22 | 15,0 | 9,0 | 1,5 |
| 3,5 | 45 | 28 | 17,5 | 8,5 | 1,75 |
| 4,0 | 50 | 30 | 20,0 | 10,0 | 2,0 |
| 7,0 | 90 | 50 | 35,0 | 20,0 | 3,5 |
Этот способ нанесения маркировки получил широкую популярность ещё с конца XIX века и активно применяется на современном оборудовании, имеющем как большие, так и малые габариты. Аналогично должен выглядеть знак соединения с заземляющим контуром, выполненный методом штамповки цветного или чёрного металла. Данный способ удобен для производителя, значок наносится в процессе изготовления корпуса, что позволяет избежать дополнительных манипуляций.
Нанесение условного обозначения заземления ударным способом на корпус электрооборудования чаще также выполняется на заводе-изготовителе, но и не исключено его применение непосредственно по месту установки изделия.
Чаще ударным способом наносят маркировку на малогабаритном оборудовании, корпуса которого изготовлены из чёрного или цветного металла.
Требования ГОСТ 21130-75 для «ударных» символов заземления несколько иные, чем для знаков, выполненных литьём. Основные размеры таких знаков изображены на рисунке ниже.

Знак присоединения к «земле», выполняемый ударным способом
Типовые размеры для вышеприведённого знака
| D | b | H | H1 | h | r |
| ±IT1,5/2 | |||||
| 14 | 1,2 | 8 | 6,0 | 2,5 | 0,6 |
| 18 | 1,4 | 10 | 7,0 | 5,0 | 0,7 |
| 25 | 1,8 | 14 | 9,0 | 5,5 | 0,9 |
Размеры в Таблицах указаны в миллиметрах.
В обоих случаях окружность вокруг знака заземления, имеющая диаметр D, окрашивается в цвет, отличный от основного цвета изделия, как правило, это жёлтый или чёрный цвет.
В настоящее время для обозначения мест соединения с контуром защитного заземления, соответствующий знак может наноситься методом наклеивания. Это либо отпечатывание знака на клейкой бумаге, либо нанесение символа на ламинированный картон с последующим его наклеиванием на оборудование.

Знак, нанесённый на клейкое основание
Размеры такого значка должны также соответствовать ГОСТ и быть пропорциональны оборудованию. Применение такого вида знаков имеет ряд преимуществ, главное из которых – лёгкость нанесения и простота обновления изношенных знаков даже в труднодоступных местах и на изделиях с небольшими габаритами. Технология изготовления символов заземления на клейкой основе предусматривает применение высококачественных клеёв и ламинита, что позволяет их использовать на оборудовании, подверженном действию вибрации и влаги.
Технология проведения работ
Выбираем место размещения заземлителей. Разумеется, недалеко от дома (объекта), чтобы не пришлось прокладывать длинный проводник, который придется механически защищать. Желательно, чтобы вся площадь контура находилась на территории, которую вы контролируете (являетесь собственником). Чтобы в один прекрасный момент, ваша защитная «земля» не была выкопана пьяным экскаваторщиком. Так что забивать штыри за забором не будем.
Подойдет огород (за исключением картофельной грядки), палисадник, клумба возле дома. Возделываемые участки предпочтительнее, они регулярно поливаются. А дополнительная влага в земле пойдет на пользу заземлению. Если ваш грунт обладает низким удельным сопротивлением — можно установить заземление на площадке, которая затем будет покрыта асфальтом или плиткой. Под искусственным покрытием земля не пересушивается. Да и риск повредить контур заземления минимален.
В зависимости от формы площадки, выбираем порядок расположения электродов: в линию, или треугольником.
Если выбран треугольник — размечаем площадку соответствующей формы со сторонами 2.5–3 метра. Копаем траншею в форме равностороннего треугольника на глубину 70–100 см, шириной 50–70 см. Мы знаем, что все заземлители соединяются между собой. Проводник должен быть углублен на расстояние не менее 50 см, с учетом минимального уровня грунта (например, вскопка грядки). Если сверху будет уложено покрытие — его толщина в расчет не берется. Только чистый грунт.
Можно выбрать весь грунт, не только по периметру траншеи. Получится треугольная яма глубиной 0.7–1.0 м. Готовый контур можно будет засыпать грунтом с низким удельным сопротивлением. Например, золой или пеплом. Соли проникнут в землю, и будут способствовать снижению общего сопротивления растекания тока.

После чего, по углам ямы (траншеи) начинаем забивать электроды.
Параметры заземлителей (рассматриваем вертикальное расположение)
Сталь без гальванического покрытия:
Круг — диаметр 16 мм.
Труба — диаметр 32 мм.
Прямоугольник или уголок — площадь поперечного сечения 100 мм².
Сталь оцинкованная
Круг — диаметр 12 мм.
Труба — диаметр 25 мм.
Прямоугольник или уголок — площадь поперечного сечения 75 мм².
Медь
Круг — диаметр 12 мм.
Труба — диаметр 20 мм.
Прямоугольник или уголок — площадь поперечного сечения 50 мм².
Грунт должен плотно облегать металлическую поверхность заземлителя. Красить электроды запрещено!
А как быть, если по расчетам длина каждого из трех электродов превышает 1.5–2 метра? Есть небольшие секреты.
- Электроды забивают не кувалдой, а вибратором, отбойным молотком с насадкой, или перфоратором. Кувалда подойдет для высоты чуть более 1 метра. Это вариант для идеального грунта с наименьшим сопротивлением.
- Совершенно не обязательно устанавливать трехметровую стремянку. Длинные электроды соединяются между собой по мере погружения в грунт. Если вы купили фабричный комплект — заземлители составные, можно набрать из сегментов любую длину.
- Для кустарного изготовления также есть способ забить в землю 4 метровый уголок. Нарезаем электрод на куски по 1.5 метра. Забиваем первый сегмент. Привариваем к нему следующий — забиваем далее. И так до расчетной глубины.
- Если забить стержни на расчетную глубину не получается в принципе — опять же берем количеством. Линейный перерасчет (типа: вместо трех по 4 метра, забиваем шесть по 2 метра длиной) не работает. Количество заземлителей определяется только последующим замером сопротивления растекания тока.
Соединяем электроды проводником. Если арматура стальная — лучше всего подойдет сварка. Медные стержни соединяются болтовой стяжкой, проводник должен иметь сечение не менее 30% от сечения электродов.
После сборки контура, проводим замеры сопротивления растекания тока. Требования к контуру заземления для индивидуального жилья — 10 Ом. Измерение лучше доверить сертифицированным специалистам, у которых имеется соответствующее оборудование. Тем более, что при получении ТУ от энергетиков, вам все равно придется представить систему заземления для измерений. Если сопротивление выше нормы — добавляем электроды и привариваем их к контуру. Пока не получим норму.

Из чего состоит заземление
- Внешний контур заземления. Располагается за пределами помещений, непосредственно в грунте. Представляет собой пространственную конструкцию из электродов (заземлителей), соединенных между собой неразделимым проводником.
- Внутренний контур заземления. Токопроводящая шина, размещенная внутри здания. Охватывает периметр каждого помещения. К этому устройству подсоединяются все электроустановки. Вместо внутреннего контура может быть установлен щиток заземления.
- Заземляющие проводники. Соединительные линии, предназначенные для подключения электроустановок непосредственно к заземлителю, или внутреннему контуру заземления.
Рассмотри эти компоненты подробнее.
Внешний, или наружный контур
Монтаж контура заземления зависит от внешних условий. Прежде чем начать расчет, и выполнить проектный чертеж, необходимо знать параметры грунта, в котором будут установлены заземлители. Если вы сами строили дом, эти характеристики известны. В противном случае лучше вызвать геодезистов, для получения заключения по грунту.
Какие бывают грунты, и как они влияют на качество заземления? Примерное удельное сопротивление каждого типа грунта. Чем оно ниже, тем лучше проводимость.
- Глина пластичная, торф = 20–30 Ωм·м
- Суглинок пластичный, зольные грунты, пепел, классическая садовая земля = 30–40 Ом·м
- Чернозем, глинистые сланцы, полутвердая глина = 50–60 Ом·м
Это лучшая среда для того, чтобы установить наружный контур заземления. Сопротивление растекания тока будет достаточно низким даже при малом содержании влаги. А в этих грунтах естественная влажность обычно выше среднего.
Полутвердый суглинок, смесь глины и песка, влажная супесь — 100–150 Ом·м
Сопротивление немного выше, но при нормальной влажности параметры заземления не выйдут за нормативы. Если в регионе установки установится продолжительная сухая погода, необходимо принимать меры к принудительному увлажнению мест установки заземлителей.
Глинистый гравий, супесок, влажный (постоянно) песок = 300–500 Ом·м
Гравий, скала, сухой песок – даже при высокой общей влажности, заземление в такой почве будет неэффективным. Для соблюдения нормативов, придется устанавливать глубинные заземлители.

Многие владельцы объектов, экономя «на спичках», просто не понимают, для чего нужен контур заземления. Его задача при соединении фазы с землей обеспечить максимальную величину тока короткого замыкания. Только в этом случае быстро сработают устройства защитного отключения. Этого невозможно достичь, если сопротивление растекания тока будет высоким.
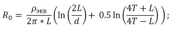
Определившись с грунтом, вы сможете выбрать тип, и самое главное — размер заземлителей. Предварительный расчет параметров можно выполнить по формуле:

Расчет приведен для вертикально установленных заземлителей.
Расшифровка величин формулы:
- R0 — полученное после вычисления сопротивление одного заземлителя (электрода) в омах.
- Рэкв — удельное сопротивление грунта, см. информацию выше.
- L — общая длина каждого электрода в контуре.
- d — диаметр электрода (если сечение круглое).
- Т — вычисленное расстояние от центра электрода до поверхности земли.
Задавая известные данные, а также меняя соотношение величин, вы должны добиться значения для одного электрода порядка 30 Ом.
Если установка вертикальных заземлителей невозможна (по причине качества грунта), можно рассчитать величину сопротивления горизонтальных заземлителей.
Поэтому лучше потратить больше времени на забивание вертикальных стержней, чем следить за барометром и влажностью воздуха.

И все же приводим формулу расчета горизонтальных заземлителей.

Соответственно, расшифровка дополнительных величин:
- Rв — полученное после вычисления сопротивление одного заземлителя (электрода) в омах.
- b — ширина электрода — заземлителя.
- ψ — коэффициент, зависящий от погодного сезона. Данные можно взять в таблице:

ɳГ — так называемый коэффициент спроса горизонтально расположенных электродов. Не вдаваясь в подробности, получаем цифры из таблицы на иллюстрации:


Предварительный расчет сопротивления необходим не только для правильного планирования закупок материала: хотя будет обидно, если вам не хватит для завершения работ, пары метров электрода, а до магазина несколько десятков километров. Более-менее аккуратно оформленный план, расчеты и чертежи, пригодятся для решения бюрократических вопросов: при подписании документов о приемке объекта, или составлении ТУ с компанией энергосбыта.
Разумеется, никакой инженер не подпишет бумаги только на основании пусть и красиво исполненных чертежей. Будут произведены замеры сопротивления растекания.
Далее расскажем о том, как добиться правильных характеристик внешнего контура заземления.
Знак заземления размеры по госту
Друзья мы с вами выяснили, что места, где выполняется подключение оборудования к заземляющему проводнику необходимо маркировать специальным символом. Размеры данного символа и методы его выполнения регламентируются ГОСТ 21130-75. В этом ГОСТе речь идет о нанесении знаков на оборудовании заводом-изготовителем. Методов исполнения в этом случае не много: штамповка, литье в металле, ударный метод и прессовка в пластмассе.
Как можно понять нанесенные таким образом знаки будут иметь либо вдавленную, либо выпуклую поверхность. После изготовления одним из вышеперечисленных методом для большей наглядности знак дополнительно окрашивается.
Это было раньше. Мы же с вами живем в современном мире и понимаем что квартирный щиток никто на завод отвозить не будет для того что на нем поставили «заземляющий штамп».
Благо есть в ГОСТ 21130-75 примечание позволяющее наносить символы заземления не только штамповкой и литьем.
Для всех скептиков в ГОСТ 21130-75 к пункту 3.1 есть примечание 2, в котором сказано что допускается выполнять знаки заземления аппликацией, краской, фотохимическим и иными способами. Главное требование в таком случае соблюдение размеров.
А размеры знака заземления по ГОСТ 21130 75 должны быть такими:
Для изготовления методом литья на металле или прессования в пластмассе.

| H | H1 | D* | b | h | r |
| 5 | 3.6 | 10 | 0.7 | 2.5 | 0.35 |
| 8 | 6.0 | 16 | 1.2 | 4.0 | 0.6 |
| 10 | 7.0 | 20 | 1.4 | 5.0 | 0.7 |
| 14 | 9.0 | 25 | 1.8 | 5.5 | 0.9 |
| 22 | 15.0 | 40 | 3.0 | 9.0 | 1.5 |
| 28 | 17.5 | 45 | 3.5 | 8.5 | 1.75 |
| 30 | 20.0 | 50 | 4.0 | 10.0 | 2.0 |
| 50 | 35.0 | 90 | 7.0 | 20.0 | 3.5 |
Для изготовления заземляющих символов ударным способом.

| D | H | H1 | b | h | r |
| 14 | 8 | 6.0 | 1.2 | 2.5 | 0.6 |
| 18 | 10 | 7.0 | 1.4 | 5.0 | 0.7 |
| 25 | 14 | 9.0 | 1.8 | 5.5 | 0.9 |
Цвет окружности D вокруг знака, должен отличаться от цвета поверхности оборудования, на котором он нанесен. Как правило, фон окрашивается в желтый, а рельеф окружности выполняется черным цветом.
Сегодня очень популярный способ нанесения символа заземления в виде наклейки. Я сам люблю им пользоваться, очень просто и удобно (легко заменить в случае износа).
Как заземление обозначается на электрических схемах
При разработке и черчении электрических схем проектировщики не только обозначают там коммутационные аппараты, элементы управления и линии связи между ними, но также указывают заземление.
Нанесение символа заземления на электрических схемах установлено ГОСТ 2.721-74.
Давайте посмотрим, как на схемах обозначается заземление общего назначения (еще есть бесшумное и защитное, кому интересно посмотрите в ГОСТ 2.721-74 как они отображаются).

На этом все дорогие друзья, до скорых выпусков. Оставляйте свои пожелания и впечатления, это мотивирует на написание и публикацию новых статьей. А напоследок, немного юмора нам всем.

Похожие материалы на сайте:
- Защитное заземление частного дома
- Принцип действия защитного зануления
- Как работает защитное заземление
Тестирование
По завершении монтажных работ необходимо протестировать контур заземления на нормируемые показатели. Для испытания потребуются точные измерительные приборы, не всегда имеющиеся в распоряжении пользователя.
Проверка контура заземления
В отсутствие требуемого оборудования следует воспользоваться простейшими способами, один из которых описан ниже (он подходит только для частного дома).
Во-первых, нужно взять достаточно мощную нагрузку (такую как утюг, например, с потреблением порядка 2-4 кВт). Во-вторых, необходим специальный переходник с обычной розеткой на одном из концов (второй из них выполняется в виде двух отдельных проводов). Далее, один из них следует оформить в виде изолированного одиночного контакта, а на конце второй сделать толстую петлю.
После этого необходимо подсоединить полученную петлю к свободной колодке на заземляющей шине в щитке. Одиночный изолированный контакт следует воткнуть в фазную клемму розетки, ближайшей к нему (нарушать порядок подключения концов переходника к фазе и земле ни в коем случае нельзя). После всех этих манипуляций нагревательный прибор окажется включенным в питающую цепь через сопротивление самодельного контура заземления. Затем нужно измерить напряжение в сети посредством мультиметра при включенном утюге и без него.
Небольшая разница в показаниях двух описанных измерений означает, что изготовленный заземлитель вполне работоспособен. Если же они отличаются очень намного – контур придется доработать (увеличить количество штырей, например).
О том, как проверить наличие правильного заземления мультиметром, мы рассказывали в соответствующей статье!
Итог
Подводя итог всему сказанному, обратим внимание на рекомендации, которыми делятся опытные мастера:
- Перед началом монтажных работ желательно подготовить чертеж будущей конструкции, который может понадобиться при дальнейшей эксплуатации. При его наличии легче восстановить в памяти схему расположения штырей.
- Отрезки электродов допускается вбивать не только в угловых точках треугольника. Их можно располагать как в линию, так и по дуге. Главное, чтобы суммарное сопротивление растеканию тока, создаваемое всей цепочкой, не превышало 3-4-х Ом.
- Если оно больше нормируемого значения, то систему придется доработать, добавив в нее еще пару стержней.
- При отсутствии опыта самостоятельной проверки сопротивления заземления — лучше всего пригласить специалиста.
После ознакомления со всеми тонкостями процесса сборки и тестирования ЗК, попытаться изготовить его своими руками может каждый желающий.
Список источников
- FishkiElektrika.ru
- electricvdome.ru
- jelectro.ru
- samelectrik.ru
- www.TexnoProm.com
- ProFazu.ru
- 220.guru
7 лестниц